Stay ahead, master crypto insights
2025-04-16 16:45
Crypto has become one of the most dynamic and promising segments in the financial technology field. With the influx of institutional funds, how to reasonably value Crypto projects has become a critical issue. Traditional financial assets have mature valuation systems, such as the Discounted Cash Flow (DCF) model and the Price-to-Earnings (P/E) ratio valuation method.
Crypto projects come in various forms, including public chains, CEX platform coins, DeFi projects, meme coins, etc., each with different characteristics, economic models, and Token functions. It is necessary to explore valuation models that are suitable for each sector.
I. Public Chains - Metcalfe's Law
Law Explanation
The core content of Metcalfe's Law: network value is proportional to the square of the number of nodes.
V = K*N²(where: V is network value, N is the number of effective nodes, K is a constant)
Metcalfe's Law is widely recognized in predicting the value of internet companies. For example, in the paper "An Independent Study on the Value of Facebook and China's Largest Social Network Company Tencent (Zhang et al., 2015)", over a 10-year statistical period, the value of these companies was found to exhibit the characteristics of Metcalfe's Law in relation to user numbers.
ETH Example
Metcalfe's Law also applies to the valuation of blockchain public chain projects. Western scholars have found that Ethereum's market capitalization is linearly related to daily active users, and it basically fits the formula of Metcalfe's Law. However, Ethereum's network market capitalization is proportional to N^1.43, with a constant K of 3000. The calculation formula is as follows:
V = 3000 * N^1.43
According to statistics, there is indeed some correlation between the Metcalfe's Law valuation method and ETH's market capitalization movement:

Logarithmic graph:

Limitation Analysis
Metcalfe's Law has limitations when applied to emerging public chains. In the early stages of public chain development, the user base is relatively small, making it unsuitable to use Metcalfe's Law for valuation, such as early Solana, Tron, etc.

In addition, Metcalfe's Law cannot reflect the impact of staking rate on token price, the long-term impact of gas fee burn under the EIP1559 mechanism, and the possible game of TVS (Total Value Secured) based on security ratio in the public chain ecosystem.
II. CEX Platform Coins - Profit Repurchase & Burn Model
Model Explanation
Centralized exchange platform coins are similar to equity tokens, related to exchange revenue (transaction fees, listing fees, other financial services, etc.), the development of the public chain ecosystem, and the exchange's market share. Platform coins generally have repurchase and burn mechanisms, and may also have Gas Fee Burn mechanisms in the public chain.
The valuation of platform coins needs to consider the overall revenue of the platform, discount future cash flows to estimate the intrinsic value of the platform coin, and also consider the burn mechanism of the platform coin, measuring its change in scarcity. Therefore, the fluctuations of platform coins are generally related to the growth rate of the trading volume of the trading platform and the reduction rate of the platform coin supply. The simplified profit repurchase & burn model valuation calculation method is:
Platform Coin Value Growth Rate = K*Trading Volume Growth Rate*Supply Burn Rate (where K is a constant)
BNB Example
BNB is the most classic exchange platform coin. Since its inception in 2017, it has received widespread acclaim from investors. The empowerment methods of BNB have gone through two stages:
Stage One: Profit Repurchase - From 2017 to 2020, Binance used 20% of its profits each quarter to repurchase and burn BNB;
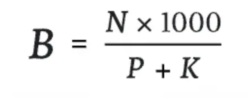
Stage Two: Auto-Burn + BEP95 - Starting in 2021, the Auto-Burn mechanism was implemented, no longer referring to Binance's profits, but calculating the burn amount based on BNB's price and the number of blocks in the BNB Chain quarterly. In addition, there is a BEP95 real-time burn mechanism (similar to Ethereum's EIP1559). 10% of each block reward will be burned. Up to now, a total of 2,599,141 BNB have been burned through the BEP95 mechanism.
The Auto-Burn mechanism calculates the burn amount based on the following formula:

Where N is the quarterly block production of BNB Chain, P is the quarterly average price of BNB, and K is a constant (initial value is 1000, adjusted through BEP).
Assuming the trading volume growth rate of Binance in 2024 is 40%, the supply burn rate of BNB in 2024 is 3.5%, and the constant K is 10:
BNB Value Growth Rate = 10*40%*3.5% = 14%
That means, according to this data, BNB should increase by 14% compared to 2023 in 2024.

Since 2017, a total of 5,952,900 BNB have been burned, averaging 1.12% of the remaining BNB quantity per quarter.
Limitation Analysis
When applying this valuation method in practice, it is necessary to closely monitor changes in the exchange's market share. For example, if the market share of an exchange continues to decline, even if its current profitability is still good, future profit expectations may be affected, thus reducing the valuation of the platform coin.
Changes in regulatory policies also have a significant impact on the valuation of CEX platform coins. Policy uncertainty can lead to changes in market expectations of platform coins.
III. DeFi Projects - Token Cash Flow Discount Valuation Method
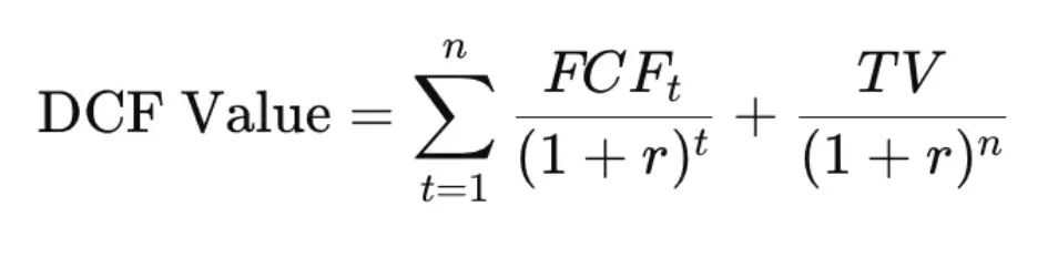
DeFi projects adopt the Discounted Cash Flow (DCF) valuation method for tokens, which involves forecasting the future cash flows generated by the token and discounting them to the current value at a certain discount rate.

Where FCFt is the free cash flow in year t (Free Cash Flow), r is the discount rate, n is the forecast period, and TV is the Terminal Value.
This valuation method determines the current value of the Token based on the expected future earnings of the DeFi protocol.
Taking RAY as an example
In 2024, Raydium's Revenue was 98.9m. Assuming an annual growth rate of 10%, a discount rate of 15%, a forecast period of 5 years, and a perpetual growth rate of 3%, with a FCF conversion rate of 90%.
Future five-year cash flows:

Discounted FCF sum for the next five years: 390.3m

Terminal Value discounted to 611.6m

DCF Total Valuation = TV + FCF = 611.6m + 390.3m = 1.002B
RAY's current market capitalization is 1.16B, which is relatively close. Of course, this valuation is based on the assumption of a 10% annual growth rate for the next 5 years. In reality, Raydium may experience negative growth during a bear market, and during a bull market, the growth rate may exceed 10%.
Limitation Analysis
There are several challenges in valuing DeFi protocols: first, governance tokens generally do not capture the revenue value of the protocol. To avoid being classified as securities by the SEC, direct dividends cannot be distributed. Although there are ways to circumvent this (staking rewards, buybacks, and burns), DeFi protocols have insufficient motivation to feed their profits back into the Token. Second, future cash flow forecasts are extremely difficult because market cycles change rapidly, DeFi protocol cash flows fluctuate greatly, and competitors and user behavior are changeable. Third, determining the discount rate is complex, requiring consideration of multiple factors such as market risk and project risk. Different choices of discount rates can significantly affect the valuation results. Fourth, some DeFi projects use profit buyback and burn mechanisms, and the implementation of such mechanisms can affect the circulation and value of the Token. DeFi Tokens with such mechanisms may not be suitable for using the cash flow discount valuation method.
IV. Bitcoin - Comprehensive Consideration of Multiple Valuation Methods
Mining Cost Valuation Method
According to statistics, in the past five years, the time when Bitcoin's price was below the mining cost of mainstream mining machines accounted for only about 10%. This fully illustrates the important role of mining costs in supporting Bitcoin's price.
Therefore, Bitcoin's mining cost can be considered as the floor price of Bitcoin. Bitcoin's price is only rarely below the mining cost of mainstream mining machines, and these times were excellent investment opportunities in the past.
Gold Substitution Model
Bitcoin is often regarded as "digital gold," capable of replacing part of the "store of value" function of gold. Currently, Bitcoin's market capitalization accounts for 7.3% of gold's market capitalization. If this proportion increases to 10%, 15%, 33%, or 100%, respectively, according to corresponding conversions, the Bitcoin price would reach $92,523, $138,784, $305,325, and $925,226. This model is based on the analogy between both in terms of the store of value attribute, providing a macroscopic reference perspective for Bitcoin's valuation.
However, Bitcoin and gold still differ in many aspects such as physical properties, market perception, and application scenarios. Gold has become a globally recognized safe-haven asset after thousands of years, with wide industrial uses and physical support. Bitcoin is a virtual asset based on blockchain technology, and its value is more derived from market consensus and technological innovation. Therefore, when using this model, it is necessary to fully consider these differences and their impact on Bitcoin's actual value.
Summary
This article aims to advocate for finding valuation models for Crypto projects to promote the steady development of valuable projects within the industry and attract more institutional investors to allocate crypto assets.
Especially during a bear market, we must use the strictest standards and the simplest logic to find those projects with long-term value. Through reasonable valuation models, like capturing Google and Apple during the "burst of the bubble" in 2000, we can dig out the "Google and Apple" in the Crypto field during the bear market.
Disclaimer: Contains third-party opinions, does not constitute financial advice







This column focuses on the real progress of Agents: technological evolution, application implementat
Tracking on-chain movements of the smart money and institutions
Spotlight on Frontier, trending projects, and breaking events
As the 2026 crypto bear market deepens, exit scams and project blowups are becoming increasingly fre
American Crypto Act – timely interpretations of policies worldwide
Selected potential airdrop opportunities to gain big with small investments
FusnChain